您的位置: 中国幕墙网 > 技术热点 > 新闻正文
 

央视新厦及弹塑性计算简介(二)

来源:中国幕墙网收集整理  作者:龙文志  日期:2006-8-18
页面功能 [字体: ] [ 打印 ] [ 投稿 ] [ 评论 ] [ 转发 ] [ 啄木鸟 ]
 

                                                      --反建筑的建筑、反幕墙的幕墙
 
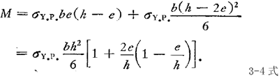
    如果我们将弯矩略为增加至MY. P以上,则在的上下表面附近的纵向纤维就开始屈服,应力分布将如图2d所示.当弯矩再增加时,塑性变形更深入梁内.当此深入深度为e时,由图2d中阴线面积所定出的相应弯矩均可用下式表示:

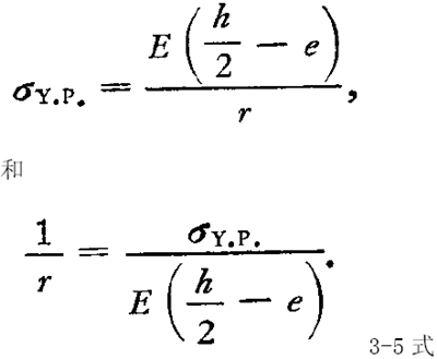
    梁相应的挠度曲线曲率可由3-1式求得.将此式应用于离中性轴(h/a)-e处的纵向纤维,井考虑到这些纵向纤维中的应力正好到 σY.P屈服点得:

     运用式3-4式和3-5式,我们可将弯矩m与曲率1/r的关系表示为如图3所示.在M-MY.P以前的变形为弹性变形,梁的曲率与弯矩按正比增大.当M增大至MY.P以上时,m与1/r的关系就变成非线性.当塑性变形的深入深度e趋近于h/2时,相应的应力分布则趋近于如图2e所示.

    以e-h/2代入3-4式得最大弯矩值为

    在图3中,Mult值定出了曲线的铅直渐近结的位置.当m趋近于Mult值时,M的微小增量会引起曲率的很大增加,因此Mult值会引起梁的完全破坏.
    3-3式和3-6式系对矩形梁推导的,对于此截面形状,引起梁完全破坏所需的弯矩比塑性变形刚开始发生时要大50%。即:Mult/M-MY.P=(σY.P bh2/4)/(σY.P bh2/6)=1.5对于其它形状的对称截面,不难导出类似的方程式。

    未完待续......

上一页123下一页

门窗幕墙第一手资讯! 上中国幕墙网 news.alwindoor.com 手机访问地址 3g.alwindoor.com
上一篇:央视新厦及弹塑性计算简介
下一篇:央视新厦及弹塑性计算简介(三)    
【回到顶部】
 
 
  为了广泛征集行业新的研究成果,活跃学术气氛,充分发挥专家学者和广大科技工作者的积极性和创造性,铝门窗幕墙委员会每年年会期间,都会...
[正文][评论]
 
 
 
 

中国幕墙网版权和免责声明

版权声明: 本网站所有文章版权,归中国幕墙网和作者所共有,未经允许请勿转载。

转载要求: 转载的图片或者文件,链接请不要盗链到本站,且不准打上各自站点的水印,亦不能抹去本站水印。

隐私条款: 除非特别声明,否则文章所体现的任何观点并不代表中国幕墙网。
本站转载或引用文章若涉及版权问题请与我们联系,我们立即将其删除!

月精彩评论集锦
知识百科
月热点新闻推荐
月企业关注度排名
月产品人气值排名
客服电话:400-60-54100  传真:0832-2201099 销售值班电话:15023154960