您的位置: 中国幕墙网 > 技术热点 > 新闻正文
 

央视新厦及弹塑性计算简介(三)

来源:中国幕墙网收集整理  作者:龙文志  日期:2006-8-21
页面功能 [字体: ] [ 打印 ] [ 投稿 ] [ 评论 ] [ 转发 ] [ 啄木鸟 ]
 

                                                      --反建筑的建筑、反幕墙的幕墙
 
    3.5纯弯工字梁(图4)一维弹塑性计算

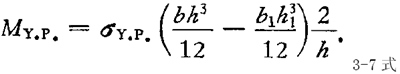
    按照3-4式屈服力矩仍由与σY.P。与截面模量相乘而得:

    从图2e表示相应的应力分布,可以得到以下简化计算,即Mult等于两倍σY.P乘以一半截面对中性轴的静力矩,即:

    现在由3-7式和3-8式得:

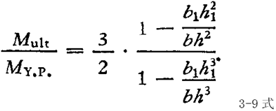
    工字梁的比值Mult/MY.P小于3/2,其值依截面的大小而定.例如:b1/b= h1/h=0.9,由3-9式得Mult/MY.P-1.18。Mult仅比MY.P大18%.对于一般工字梁,由计算得出的Mult/MY.P之值为1.15-1.17。

    由此可以看出,如果一矩形梁和一工字梁按同样的对应于开始屈服时的安全系数来设计,对完全破坏而言,矩形梁的强度将较工字梁为高.在开始屈服后,矩形梁的强度裕度鞍工字梁为大.工字梁的凸缘一般很薄凸,可以近似认为Mult=MY.P,即屈服一发生工字梁便完全破坏。

    3-6由横向力引起的弯曲.
    以矩形简支梁中桌受集中荷载为例(图5)。

上一页12下一页

门窗幕墙第一手资讯! 上中国幕墙网 news.alwindoor.com 手机访问地址 3g.alwindoor.com
上一篇:央视新厦及弹塑性计算简介(二)
下一篇:玻璃幕墙结露水的计算(一)    
【回到顶部】
 
 
  为了广泛征集行业新的研究成果,活跃学术气氛,充分发挥专家学者和广大科技工作者的积极性和创造性,铝门窗幕墙委员会每年年会期间,都会...
[正文][评论]
 
 
 
 

中国幕墙网版权和免责声明

版权声明: 本网站所有文章版权,归中国幕墙网和作者所共有,未经允许请勿转载。

转载要求: 转载的图片或者文件,链接请不要盗链到本站,且不准打上各自站点的水印,亦不能抹去本站水印。

隐私条款: 除非特别声明,否则文章所体现的任何观点并不代表中国幕墙网。
本站转载或引用文章若涉及版权问题请与我们联系,我们立即将其删除!

月精彩评论集锦
  • 浙江华成有机硅,在幕墙工程是可信任,是性价比最高的,这同企业的理念是一致的,我的一个10万方的工程就是甲方通过工厂实地考查,最终确认的,HC000耐侯胶,HC7000结构胶,HC9000结构胶(认证)。用下来确实不错,我有一说一,好就是好,这是我的心得,故向大家推荐
    来自 115.236.39.226 的用过浙江华成有机硅的心得对2010年度“建筑用硅酮结构密封胶”产品展播的评论
  • 我也是刚加入这个行业,我觉得比我想象中的非常的难,我想像 王总学习 , 不知王总是否 能指点我们。
    来自 119.178.155.126 的小文对保守固执——中国塑钢门窗业的昊星模式的评论
  • 安泰胶不错,我们常年都在用,特别是售后服务这块,感觉很贴心。业务员也很有素质,跟客户感觉很好!
    来自 123.186.241.163 的读者对2010年度“建筑用硅酮结构密封胶”产品展播的评论
  • 说到胶关键还是要看品质,价格,价格优惠,质量又不错,南玻是国内玻璃行业的老大哥吧,之江,中原,白云,都有用,但不是他主要用的,主要用的胶是广州耐奇的胶,四大工厂都在用,东莞达百分之六十,吴江达百分之四十。
    来自 114.218.165.6 的读者对深度剖析:2007年度建筑用胶类认定产品横向对比的评论
  • 据我了解,该企业做的多,说得少,老大低调,重人才和技术
    来自 119.27.176.25 的读者对兴业成功入选“2008年度中国建筑幕墙行业50强企业”的评论
  • 我认为江苏润泰的胶整体不错,还通过结构胶的认证及耐候胶的行业推荐,公司实力很强,值得拥有......
    来自 117.81.222.2 的读者对2010年度“建筑用硅酮结构密封胶”产品展播的评论
  • 现在的社会,在幕墙行业发展,如果做一名工人,正在你没有关系的前提下 发展很不容易 现在的社会裙带关系十分的严重 都苦了那些辛苦工作的第一生产线上的员工....
    来自 116.228.86.30 的小杨、Ge对远大集团 志向远大的评论
  • 国强的很一般,本身没有那品牌价值,硬冲大牌。丝吉利娅,坚朗,合和,立兴的不错,有品牌价值。
    来自 60.1.163.206 的读者对2009主流建筑门窗五金系统横向对比专题的评论
知识百科
月热点新闻推荐
月企业关注度排名
月产品人气值排名
客服电话:400-60-54100  传真:0832-2201099 销售值班电话:15023154960